大学生“诗经”体致谢全网刷屏,网友:栓Q界的天花板
来源:九派新闻
2024-05-20 07:39:43
又是一年毕业季,与格式要求严格规范的论文正文部分相比,致谢大概是毕业生们最能够自由表达真情实感的部分了。有的致谢用朴素的文字将自己的感受娓娓道来,有的致谢别出心裁,用不一样的方式和自己的学生生涯作别。
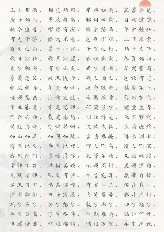
湖北大学文学院汉语言文学专业2024届毕业生严鋆,写下一篇共368字的“诗经”体致谢,四字一句读,一笔一深情,文辞畅达,布局匀称。经其导师何海燕分享后,迅速走红朋友圈。

图源:湖北大学
这篇致谢除了大量的原创诗句外,还化用、引用了其他诗词,“这是一种古代文人墨客的精华与自我感受的熔铸。”严鋆说。
关于求学:
“鲜衣怒马,年少轻狂。有志于学,修远不惑。岂畏伊阻,上下求索。百丈之山,累于一抔。千里之行,始于足下。”这是她大学四年求学的感悟。
关于家人:
“春秋离家,冬夏始归。父兮鞠我,有慈无威。母兮育我,华发蒙霜。蓼莪念父,凯风愧母。歌之诵之,岂敢有忘。祖父祖母,年逾古稀。”
严鋆与家人聚少离多,但家庭永远是她最坚实的后盾。“他们都全力支持我做自己想做的!”严鋆笑着说,“我只要一往直前就好。”为此,她写下“承恩深重,能不奋飞”。
关于导师:
她写下“巧笑倩兮,鳣堂盈春。何氏吾师,载道悠悠。明经博览,无不穷究……幸师不弃,循循善诱。示我周行,发我聋聩。”让我们看到了一位温柔博学、循循善诱,宽柔并济的老师。
关于友情:
生活上的“欢兮乐兮,苦兮愁兮”,严鋆会与朋友们交流谈心。其中,有一位挚友,一路走来,一直与她相携相助。严鋆保研期间,她们常相伴夜环沙湖。后来挚友考公,她们一起去杭州漫步西湖。临别之际,严鋆祝福道“唯愿诸君,前程锦绣。鹏程万里,各有所就”。
严鋆之所以用“诗经”体写致谢,一是为回应何海燕老师结课时,给学生们的同为诗经体的送别诗;二是她对《诗经》本身的热爱,在她看来,《诗经》是先人们发自内心的吟唱,同时又不乏典雅庄重。

图源:湖北大学
除了严鋆写下的这篇“诗经”体致谢外,社交平台上也有其他毕业生晒出了自己写的文言文致谢。网友@盐焗小星球分享了自己失眠时突然灵感爆发写的一篇仿骈文致谢:

网友@小野石榴 用了一首诗作为自己硕士论文致谢的开篇:

网友@饭雪山人 用一首《金缕曲》代替了长篇幅的论文致谢:

无论是哪一种文体,都是毕业生们用真挚的文字暂时告别自己的学生生涯,迈着笃定的步伐踏入人生新的阶段。这是一份致敬过往,展望未来的感恩之情,也是一次心灵的告别和新生活的开始。
(九派新闻)
责任编辑:彭茜
